Наказ Мінфіну “Про затвердження Методики розрахунку вартості публічного інвестиційного проєкту”

МІНІСТЕРСТВО ФІНАНСІВ УКРАЇНИ
НАКАЗ
23.06.2025 № 316
Зареєстровано в Міністерстві
юстиції України
09 липня 2025 року
за № 1053/44459
Про затвердження Методики розрахунку вартості публічного інвестиційного проєкту
{Із змінами, внесеними згідно з Наказом Міністерства фінансів
№ 354 від 15.07.2025}
Відповідно до пункту 32 плану заходів з реалізації Дорожньої карти реформування управління публічними інвестиціями на 2024-2028 роки, затвердженого розпорядженням Кабінету Міністрів України від 18 червня 2024 року № 588-р, НАКАЗУЮ:
{Преамбула із змінами, внесеними згідно з Наказом Міністерства фінансів № 354 від 15.07.2025}
1. Затвердити Методику розрахунку вартості публічного інвестиційного проєкту, що додається.
2. Сектору з питань управління публічними інвестиціями забезпечити:
подання цього наказу на державну реєстрацію до Міністерства юстиції України;
3. Цей наказ набирає чинності з дня його офіційного опублікування.
4. Контроль за виконанням цього наказу покласти на першого заступника Міністра Улютіна Д.В.
| Зареєстровано в Міністерстві юстиції України 09 липня 2025 року за № 1053/44459 |
Методика
розрахунку вартості публічного інвестиційного проєкту
{Заголовок розділу “Загальні положення” із змінами, внесеними згідно з Наказом Міністерства фінансів № 354 від 15.07.2025}
1. Цією Методикою визначаються основні вимоги щодо порядку розрахунку вартості публічного інвестиційного проєкту (далі – проєкт), принципи та уніфіковані підходи до ідентифікації, оцінки та обґрунтування витрат на всіх етапах життєвого циклу проєкту.
Ця Методика застосовується ініціаторами проєктів під час їх підготовки.
{Абзац другий пункту 1 розділу “Загальні положення” із змінами, внесеними згідно з Наказом Міністерства фінансів № 354 від 15.07.2025}
2. У цій Методиці терміни вживаються у значеннях, наведених у Бюджетному кодексі України, Законах України «Про оцінку впливу на довкілля», «Про регулювання містобудівної діяльності», Порядку розподілу коштів державного бюджету на підготовку та реалізацію публічних інвестиційних проектів та програм публічних інвестицій, затвердженому постановою Кабінету Міністрів України від 28 лютого 2025 року № 232 «Деякі питання розподілу публічних інвестицій» та інших нормативно-правових актах.
{Пункт 2 розділу “Загальні положення” із змінами, внесеними згідно з Наказом Міністерства фінансів № 354 від 15.07.2025}
II. Основні принципи розрахунку вартості проєкту
{Заголовок розділу “Основні принципи розрахунку вартості проєкту“ із змінами, внесеними згідно з Наказом Міністерства фінансів № 354 від 15.07.2025}
3. На першому етапі підготовки проєкту (передінвестиційні дослідження) якісна оцінка вартості реалізації та експлуатації проєкту є ключовим фактором, що дозволяє відхилити проєктні пропозиції, які не можуть бути профінансовані в осяжному майбутньому з огляду на фіскальні обмеження, або проєкти, які є недоцільними, зважаючи на їх реальну вартість. Водночас на стадіях попереднього техніко-економічного обґрунтування та повного техніко-економічного обґрунтування може бути зміщення у бік оптимізму, який часто ускладнюється викривленням інформації про витрати та ризики проєкту.
4. З метою мінімізації ризику недооцінки вартості проєкту (і переоцінки вигоди) у передінвестиційних дослідженнях вживаються такі заходи:
{Абзац перший пункту 4 розділу “Основні принципи розрахунку вартості проєкту” із змінами, внесеними згідно з Наказом Міністерства фінансів № 354 від 15.07.2025}
забезпечення включення у вартість проєкту всіх витрат, необхідних для досягнення очікуваного результату, включно з обладнанням для належного функціонування проєкту;
забезпечення достатньої кількості даних для підтвердження оцінки всіх витрат, передусім на основі попереднього досвіду. Якщо попереднього досвіду не було, оцінки може бути підтверджено експертною думкою, що базується на поточних ринкових умовах;
порівняння кошторисної вартості і графіка реалізації запропонованого проєкту з аналогічними проєктами, які раніше було реалізовано в межах України або за кордоном (для великих унікальних проєктів);
використання найоптимальніших методів оцінки витрат на кожному етапі життєвого циклу проєкту, порівняння оцінок, зроблених на етапі попереднього техніко-економічного обґрунтування, з останніми оцінками та визначення джерел розбіжностей;
забезпечення можливості аналізу кошторису проєкту незалежними експертами;
уникнення використання проєкту для фінансування інших робіт або елементів, які не є його частиною і які може бути розглянуто та проаналізовано як окремий проєкт (наприклад, включення придбання діагностичного обладнання для іншої лікарні, яка вже працює, до вартості нової лікарні).
III. Категорії витрат, які потребують оцінки
{Заголовок розділу “Категорії витрат, які потребують оцінки” із змінами, внесеними згідно з Наказом Міністерства фінансів № 354 від 15.07.2025}
5. У передінвестиційних дослідженнях необхідно визначити, кількісно виміряти та оцінити всі витрати, які буде понесено під час реалізації проєкту, а також протягом строку його корисного використання. Ініціатор проєкту має визначити наступне:
{Абзац перший пункту 5 розділу “Категорії витрат, які потребують оцінки” із змінами, внесеними згідно з Наказом Міністерства фінансів № 354 від 15.07.2025}
які ресурси потрібні (люди, обладнання, матеріали, інше);
яка кількість кожного з ресурсу є необхідною;
коли буде потрібен кожен ресурс;
якою є ціна за одиницю та загальна вартість кожного необхідного ресурсу.
6. Рівень деталізації цих оцінок залежатиме від стадії життєвого циклу проєкту. На етапі розроблення попереднього техніко-економічного обґрунтування проєкту може бути зроблено приблизні оцінки, що дозволить відкинути на ранній стадії проєкти, які не є доцільними через високу вартість (яка має містити поправку на ризик і невизначеність) і низьку прогнозовану вигоду від їх реалізації. Під час подальшої підготовки проєкту (повне техніко-економічне обґрунтування, остаточний дизайн) рівень деталізації та точності витрат за проєктом має зростати. Це дозволить приймати більш обґрунтовані рішення щодо доцільності реалізації проєкту.
7. Категорії витрат, що потребують оцінки, містяться у додатку до цієї Методики та охоплюють витрати на:
підготовку проєкту (передінвестиційні витрати);
реалізацію проєкту (інвестиційні витрати);
експлуатацію проєкту (операційні витрати);
закриття проєкту (для деяких проєктів).
IV. Витрати на підготовку проєкту
{Заголовок розділу “Витрати на підготовку проєкту” із змінами, внесеними згідно з Наказом Міністерства фінансів № 354 від 15.07.2025}
8. Витрати на підготовку проєкту охоплюють усі витрати, які необхідно здійснити для визначення доцільності проєкту та підготовки документації для його реалізації. Такі витрати залежать від складності проєкту і для масштабних проєктів можуть становити до 5 відсотків від вартості такого проєкту.
9. Ініціатору проєкту необхідно враховувати такі витрати на його підготовку:
передінвестиційні дослідження (попереднє техніко-економічне обґрунтування та повне техніко-економічне обґрунтування), необхідні для прийняття остаточного рішення про реалізацію проєкту, включно з фінансово-економічним аналізом, дослідженням ринку, аналізом зацікавлених сторін та оцінкою впливу на навколишнє середовище, а також оцінкою впливу змін клімату;
дослідження, необхідні для підготовки проєктної документації (наприклад, топографічні та механічні дослідження ґрунту, гідрологічні дослідження, дослідження вітру тощо);
підготовка проєктної документації, зокрема, з архітектурним дизайном, детальними інженерними планами та технічними специфікаціями проєкту;
експертиза проєкту будівництва;
юридичні дослідження, які можуть знадобитися (наприклад, щодо правового статусу необхідної землі);
підготовка документації для закупівлі будівельних послуг, розробка процесу закупівель та супровід комерційних контрактів;
інші витрати на підготовку проєкту.
V. Витрати на реалізацію проєкту
{Заголовок розділу “Витрати на реалізацію проєкту” із змінами, внесеними згідно з Наказом Міністерства фінансів № 354 від 15.07.2025}
10. Витрати на реалізацію проєкту охоплюють усі витрати, які необхідно здійснити з дня початку реалізації проєкту до початку його експлуатації.
{Пункт 10 розділу “Витрати на реалізацію проєкту” із змінами, внесеними згідно з Наказом Міністерства фінансів № 354 від 15.07.2025}
11. Ініціатору проєкту необхідно враховувати такі витрати на його реалізацію:
вартість земельної ділянки, що використовуватиметься для реалізації проєкту;
вартість будівель, що використовуватимуться для реалізації проєкту;
вартість переселення мешканців, якщо це необхідно для реалізації проєкту (поширена практика в проєктах будівництва доріг);
розчищення та вирівнювання земель;
вартість додаткових робіт для належної експлуатації проєкту;
вартість додаткових робіт для підвищення стійкості, адаптації або зменшення наслідків зміни клімату;
придбання та встановлення обладнання;
оплата праці персоналу (протягом періоду реалізації проєкту);
навчання персоналу для експлуатації проєкту;
юридичні та адміністративні витрати під час реалізації проєкту;
технічний нагляд та витрати на моніторинг;
витрати на фінансування проєкту;
інші витрати на реалізацію проєкту.
VI. Витрати на експлуатацію проєкту
{Заголовок розділу “Витрати на експлуатацію проєкту” із змінами, внесеними згідно з Наказом Міністерства фінансів № 354 від 15.07.2025}
12. Витрати на експлуатацію проєкту (операційні витрати) включають усі витрати, які необхідно здійснити для того, щоб проєкт надавав очікувані послуги протягом усього терміну його корисного використання. Операційні витрати впливають на наступні бюджетні періоди і їх має бути визначено для всіх проєктів до їх остаточного затвердження. Ці витрати можуть бути дуже високими в деяких проєктах, таких як лікарня, аеропорт або порт, а тому ключовим фактором під час прийняття рішення про реалізацію проєкту є те, чи буде в майбутньому достатньо ресурсів для експлуатації та обслуговування проєкту відповідно до плану.
{Пункт 12 розділу “Витрати на експлуатацію проєкту” із змінами, внесеними згідно з Наказом Міністерства фінансів № 354 від 15.07.2025}
13. Ініціатору проєкту необхідно враховувати такі витрати на його експлуатацію:
оплата праці постійних та тимчасових працівників;
комунальні послуги (постачання та розподіл природного газу, постачання та розподіл електричної енергії, постачання теплової енергії, постачання гарячої води, централізованого водопостачання, централізованого водовідведення, управління побутовими відходами);
оплата інших послуг (абонентська плата за користування телефоном та інтернетом);
матеріали та виробничі ресурси, необхідні для виробництва товарів або надання послуг;
придбання запасних частин для дрібного обладнання;
витрати на поточне обслуговування обладнання та інфраструктури;
оренда будівель або обладнання;
пальне та запчастини для транспортних засобів;
податки та періодична сплата за дозволи;
технічне обслуговування інфраструктури (наприклад, капітальний ремонт, відновлення виробничої потужності обладнання);
інші витрати на експлуатацію проєкту.
VII. Витрати на закриття проєкту
{Заголовок розділу “Витрати на закриття проєкту” із змінами, внесеними згідно з Наказом Міністерства фінансів № 354 від 15.07.2025}
14. Витрати на закриття проєкту охоплюють витрати на заходи, які необхідно здійснити після завершення етапу експлуатації з метою уникнення майбутніх негативних наслідків. Більшість проєктів мають незначні витрати на закриття або взагалі не мають таких витрат. Водночас витрати на виведення з експлуатації є важливими для проєктів, пов’язаних з добуванням корисних копалин, сміттєзвалищами та ядерними об’єктами, і їх має бути враховано у загальну вартість проєкту.
VIII. Методи оцінювання витрат
{Заголовок розділу “Методи оцінювання витрат” із змінами, внесеними згідно з Наказом Міністерства фінансів № 354 від 15.07.2025}
15. Після визначення статей витрат по кожній категорії, ініціатор проєкту кількісно вимірює та оцінює їх вартість. Кількісне вимірювання полягає у визначенні кількості одиниць кожної статті витрат, необхідної для кожного періоду горизонту оцінки проєкту. Вартісна оцінка полягає у визначенні грошової вартості кожної статті витрат, як капітальних, так і операційних.
16. Для вартісної оцінки витрат ініціатор проєкту використовує такі методи або їх комбінації:
{Абзац перший пункту 16 розділу “Методи оцінювання витрат” із змінами, внесеними згідно з Наказом Міністерства фінансів № 354 від 15.07.2025}
метод «згори донизу» або метод проєктів-аналогів – ґрунтується на використанні даних зі схожих проєктів, які вже було реалізовано. Здебільшого він є швидшим і часто використовується для проєктів на ранніх стадіях. Якщо є відомості про попередні проєкти, наприклад, у базі даних проєктів, можна оцінити вартість проєкту, використовуючи реальні, кінцеві витрати на проєкт зі схожими характеристиками. Наприклад, вартість будівництва класних кімнат для школи можна оцінити на основі вартості вже побудованих класних кімнат в інших школах у тому ж регіоні. Цей метод також є дуже корисним для оцінки витрат на експлуатацію та обслуговування. Водночас проєкти для порівняння мають бути ретельно відібрані. Це можуть бути проєкти з регіону зі схожими географічними та рельєфними характеристиками, тип і якість матеріалів, що використовуються, мають бути схожими, так само як і відстань до центрів, де можна знайти необхідні матеріали. Крім того, розмір проєктів має бути подібним, оскільки у великих проєктах може бути економія від масштабу. І якщо проєкт, що використовується для порівняння, було завершено кілька років тому, дані про витрати має бути оновлено (скориговано з урахуванням інфляції або інших змін цін);
параметричний метод – ґрунтується на використанні даних з попередніх проєктів та визначає взаємозв’язок між історичними даними щодо витрат та змінними проєкту, такими як фізичні або експлуатаційні характеристики (наприклад, обчислення середньої вартості будівництва 1 кілометра дороги зі схожими характеристиками). Як і у випадку з методом «згори донизу», критично важливим фактором під час параметричної оцінки витрат є те, наскільки проєкти в базі даних схожі між собою та з проєктом, витрати якого оцінюються. Перевага параметричного методу полягає в тому, що оцінка витрат може бути більш точною, ніж оцінка за методом «згори донизу», оскільки для її отримання використовується більше як один реалізований проєкт. Цей метод є корисним на початку життєвого циклу проєкту, а також для перевірки оцінки, зробленої за допомогою іншого методу;
метод «знизу вгору» або інженерний метод – ґрунтується на обрахунку вартості вже відомої кількості необхідних ресурсів з використанням визначених цін або ринкових котирувань. Цей метод є найточнішим, але й найбільш трудомістким, оскільки передбачає ідентифікацію та кількісне вимірювання всіх необхідних робіт та визначення вартості кожного ресурсу шляхом вивчення ринкових цін та інших джерел інформації. Наявність остаточного дизайну проєкту з кресленнями та специфікаціями, а також з чітко визначеними виробничими операціями дозволяє визначити структуру робіт і витрат, що лягають в основу проєктно-кошторисної документації.
17. Під час використання даних попередніх проєктів, які було завершено понад рік тому, або раніше підготовленої проєктної документації їх необхідно оновлювати для врахування, зокрема, рівня інфляції, зміни вартості робочої сили. Оновлення здійснюється за такою загальною формулою:

{Абзац другий пункту 17 розділу “Методи оцінювання витрат” із змінами, внесеними згідно з Наказом Міністерства фінансів № 354 від 15.07.2025}
{Абзац шостий пункту 17 розділу “Методи оцінювання витрат” із змінами, внесеними згідно з Наказом Міністерства фінансів № 354 від 15.07.2025}
Залежно від типу проєкту можуть використовуватися різні індекси цін для оновлення даних про вартість проєктів, завершених у попередні роки. Зокрема, індекс зміни вартості будівельних робіт, продукції промислового виробництва та опосередкованої вартості будівництва об’єктів соціального призначення, які Мінрозвитку оприлюднює, зокрема, на офіційному вебсайті. Зазначені індекси й показники мають довідковий характер і можуть застосовуватися під час прогнозування обсягів капітальних інвестицій, перерахування їх у зіставлений рівень цін, для приведення вартісних показників проєктів-аналогів у поточний рівень цін під час визначення кошторисної вартості будівництва на ранніх етапах підготовки проєкту.
У планових інвестиційних витратах рекомендовано враховувати очікуваний рівень інфляції, який щорічно затверджується постановою Кабінету Міністрів України про схвалення прогнозу економічного і соціального розвитку України та розміщується на офіційному вебсайті Мінекономіки.
18. Використання комбінації цих методів може підвищити точність оцінки витрат: метод «згори-донизу» та параметричний метод, які базуються на аналізі вже реалізованих проєктів-аналогів, дозволяють мінімізувати ухил у бік оптимізму в оцінці, у той час як інженерний метод на більш пізніх етапах життєвого циклу проєкту дозволяє підготувати кошторис проєкту на основі розуміння деталей проєкту. Використання комбінації методів для здійснення оцінки вартості є особливо важливим у разі великих проєктів, оскільки досвід показує, що ухил у бік оптимізму трапляється частіше і є тим більшим, чим більшим є проєкт.
19. Незалежно від методу, який використовується для оцінки вартості проєкту, ініціатор проєкту має переконатися, що кошторис проєкту охоплює всі статті витрат і є обґрунтованим.
IX. Оцінка вартості проєкту протягом його життєвого циклу
{Заголовок розділу “Оцінка вартості проєкту протягом його життєвого циклу” із змінами, внесеними згідно з Наказом Міністерства фінансів № 354 від 15.07.2025}
20. Рівень деталізації та точності оцінки витрат буде змінюватися в міру просування проєкту по життєвому циклу проєкту, збільшуючись від стадії попереднього техніко-економічного обґрунтування до остаточного дизайну проєкту (проєктно-кошторисної документації).
21. На етапі попереднього техніко-економічного обґрунтування кількісна оцінка статей витрат має ґрунтуватися на характеристиках визначених попередніх технічних рішень та відповідних проєктах-аналогах (метод «згори-вниз» та параметричний метод). Якщо масштаби проєктів відрізняються, кількісні показники необхідно масштабувати, зважаючи на відносний розмір проєктів. За відсутності даних про завершені подібні проєкти можна скористатися іншими методами, наприклад, експертним аналізом, ринковими оцінками. На цьому етапі оцінки є достатніми для аналізу вартості альтернативних технічних рішень, відкидання нежиттєздатних альтернатив та вибору найкращого варіанту, що визначає вартість остаточного проєкту. Оскільки ці оцінки часто роблять без детальних даних, вони мають містити вищий рівень потреб на випадок непередбачених обставин, щоб урахувати незрілість і вищий рівень невизначеності та ризику. Рівень точності оцінок витрат у попередньому техніко-економічному обґрунтуванні дозволяє прийняти інвестиційне рішення для проєктів вартістю до 50 млн гривень.
22. На етапі повного техніко-економічного обґрунтування рівень деталізації та точності оцінок витрат підвищується, оскільки використовуються тільки первинні дані, тобто структура робіт і ресурсів та відповідних витрат для обраного технічного рішення (інженерний метод). Заходи з контролю та пом’якшення ризиків має бути оцінено та включено в загальну вартість проєкту. Рівень впевненості щодо вартості проєкту, досягнутий у повному техніко-економічному обґрунтуванні, має бути достатнім для прийняття остаточного інвестиційного рішення для проєктів вартістю понад 50 млн гривень.
23. Найбільш точна оцінка вартості проєкту здійснюється під час підготовки проєктно-кошторисної документації. Такий рівень деталізації є достатнім для закупівлі будівельних послуг, оцінки тендерних пропозицій та укладення контрактів. Якщо після розробки проєктно-кошторисної документації вартість проєкту зросла більш ніж на 10 відсотків порівняно з вартістю на етапі повного техніко-економічного обґрунтування, такий проєкт підлягає повторній експертній оцінці для прийняття рішення про доцільність його реалізації.
X. Джерела даних для розрахунку вартості проєкту
{Заголовок розділу “Джерела даних для розрахунку вартості проєкту” із змінами, внесеними згідно з Наказом Міністерства фінансів № 354 від 15.07.2025}
24. Найкращим джерелом даних для оцінки витрат є проєкти-аналоги, які було нещодавно завершено. До дня формування достатньої бази реалізованих проєктів, корисним джерелом інформації для порівняльного аналізу можуть бути дані щодо реалізації проєктів міжнародних фінансових організацій, інформація системи Прозорро.
{Пункт 24 розділу “Джерела даних для розрахунку вартості проєкту” із змінами, внесеними згідно з Наказом Міністерства фінансів № 354 від 15.07.2025}
25. За відсутності даних про проєкти-аналоги, може бути використано експертну оцінку. Під час оцінки витрат експерти мають забезпечити обґрунтованість та неупередженість таких оцінок.
26. Окрім того, може бути використано міжнародний досвід для проєктів-аналогів. Однак за цієї умови необхідно переконатися, що проєкти є порівнюваними. Географічне розташування та характеристики ділянки можуть істотно змінити вартість проєктів, які здаються схожими. Наприклад, вартість будівництва порту аналогічного розміру і характеристик (кількість і розмір причалів, складських приміщень, вантажопідйомність кранів тощо) може істотно відрізнятися через необхідність проведення днопоглиблювальних робіт, наявність течій, штормів у даній місцевості, тощо. Витрати також має бути скориговано на різницю у вартості робочої сили, податків, курсів валют та вартості транспортування матеріалів. Через вищезазначені труднощі, міжнародний досвід може слугувати переважно для попередньої приблизної оцінки, надаючи діапазон можливих капітальних та операційних витрат проєкту, а не точну оцінку.
27. Під час використання інженерного методу, корисним джерелом інформації може бути запит цінових пропозицій від потенційних постачальників матеріалів та обладнання, а також дослідження вартості робочої сили в регіоні.
28. На кожному етапі життєвого циклу проєкт містить інформацію щодо джерел даних (зокрема, посилання на вебсайти, відповідні бази даних) для їх перевірки.
XI. Врахування ризиків під час оцінки вартості проєкту
{Заголовок розділу “Врахування ризиків під час оцінки вартості проєкту” із змінами, внесеними згідно з Наказом Міністерства фінансів № 354 від 15.07.2025}
29. Під час підготовки та оцінки вартості проєкту необхідно враховувати вплив ризиків, тобто подій, які мають передбачувану ймовірність настання та наслідки, які можна оцінити з деякою часткою впевненості. Ці ризики можуть вплинути на реалізацію або експлуатацію проєкту, і необхідно передбачити певні заходи, щоб бути готовими до матеріалізації ризиків, які, безсумнівно, матимуть вплив на витрати.
30. Ризики, пов’язані з проєктом, можна розділити на дві категорії:
«відомі – невідомі» – це ризики, вплив яких на проєкт відомий, але невідомо, чи матеріалізуються вони, коли саме матеріалізуються, або їх величину, і для яких можна розробити процедури управління ризиками. Прикладами таких ризиків є стихійні лиха, як-то повені, зсуви та лісові пожежі. Стосовно «відомого – невідомого» ризику можна провести аналіз, щоб визначити заходи для пом’якшення впливу ризику, і внести вартість цих заходів до кошторису проєкту;
«невідомі – невідомі» – це ризики, існування яких є невідомим до моменту їх матеріалізації і які неможливо передбачити заздалегідь.
31. Фактори, які роблять деякі проєкти більш ризикованими за інші, містять зокрема: великий розмір проєкту (більші проєкти мають більшу ймовірність зіткнутися з проблемами під час реалізації через їх високу вартість, складність, щільніші ланцюги постачання, довші терміни будівництва, обмежену пропозицію робочої сили, техніки та матеріалів, а також широкий спектр зацікавлених сторін), слабка інституційна спроможність та недостатній кадровий потенціал виконавця проєкту (проблеми можуть виникнути під час реалізації та експлуатації проєкту через розпорошення або дублювання обов’язків, відсутність усталеної методології управління проєктами, брак планування та контролю, нечітке визначення цілей та завдань, плинність кадрів), значний вплив на навколишнє середовище або пам’ятки культури, що викликає супротив громадськості, тощо.
32. Для визначення конкретних ризиків, що можуть вплинути на проєкт, можна використовувати такі методи роботи: ідентифікація ризику командою, яка готує проєкт (визначення ймовірних подій, які впливатимуть на реалізацію проєкту); моделювання ситуації, в якій проєкт зазнав невдачі, щоб зрозуміти, які фактори могли б призвести до такого результату; визначення та аналіз припущень, зроблених під час підготовки проєкту; вивчення зацікавлених сторін з метою виявлення ризиків, що можуть бути створені ними; аналіз попередніх невдалих проєктів, що зазнали невдачі через матеріалізацію ризиків; аналіз історичної інформації, що стосується, наприклад, природних явищ, які можуть вплинути на проєкт.
33. Після того, як ризики виявлено та проаналізовано, необхідно оцінити вплив, який у разі їх настання може мати на проєкт. Для цього можна послуговуватися шкалою, яка присвоює ризикам значення відповідно до ймовірності їх виникнення та серйозності впливу на проєкт у разі їх настання, наведеною в таблиці 1.
{Таблиця пункту 33 розділу “Врахування ризиків під час оцінки вартості проєкту” із змінами, внесеними згідно з Наказом Міністерства фінансів № 354 від 15.07.2025}
34. Залежно від присвоєного значення, виконуються такі дії:
{Абзац перший пункту 34 розділу “Врахування ризиків під час оцінки вартості проєкту” із змінами, внесеними згідно з Наказом Міністерства фінансів № 354 від 15.07.2025}
ризики зі значенням від 1 до 2 (зелений колір) – це незначні ризики, які слід відстежувати, але які не потребують жодних конкретних дій;
ризики зі значенням від 3 до 8 (жовтий колір) – це значні ризики. Доцільно розглянути можливість контролювати їх за допомогою превентивних заходів. Необхідно визначити вартість цих превентивних заходів і, якщо вона є економічно обґрунтованою, додати її до кошторисної вартості проєкту;
ризики зі значенням від 9 до 12 (помаранчевий колір) – ці ризики є важливими і превентивні заходи або заходи з пом’якшення впливу має бути включено в підготовку проєкту. Витрати на ці заходи необхідно додати до вартості проєкту. Також потрібно відстежувати пов’язані з ними змінні;
{Абзац четвертий пункту 34 розділу “Врахування ризиків під час оцінки вартості проєкту” із змінами, внесеними згідно з Наказом Міністерства фінансів № 354 від 15.07.2025}
ризики зі значеннями від 15 до 25 (червоний колір) – ці ризики є критичними, тобто ймовірність недосягнення мети проєкту є дуже високою. Проєкт не слід розпочинати без вивчення можливості зміни дизайну проєкту, яка дозволить уникнути ризику, або вжиття активних заходів, які дозволять уникнути або зменшити вплив ризику. Ці заходи можуть бути дорогими і мають бути додані до вартості проєкту, якщо прийнято рішення про його виконання, незважаючи на високу ймовірність і вплив ризику.
35. Заходи, які дозволяють зменшити вплив ризиків на проєкти, можна класифікувати як заходи з контролю та пом’якшення:
заходи контролю – це заходи, спрямовані на зменшення ймовірності настання ризику. Наприклад, якщо територія, на якій заплановано будівництво, може постраждати від повені, будівництво земляного валу для запобігання затопленню є заходом контролю ризику затоплення будівельного майданчика;
заходи з пом’якшення наслідків – це заходи, спрямовані на зменшення впливу ризику в разі його настання. Наприклад, вплив страйку працівників постачальника можна зменшити, якщо є запас матеріалів, що дозволяє продовжувати роботу проєкту під час страйку.
36. Вибір правильного підходу до пом’якшення або контролю ризику залежатиме від характеристики ризику. Є ризики, які неможливо контролювати, наприклад, надзвичайні ситуації природного характеру. У таких випадках можна лише вжити заходів щодо пом’якшення наслідків. Інші ризики можна контролювати, уникаючи наслідків їх настання. Для цього необхідно передбачити заходи із запобігання ризикам і розрахувати їхню вартість (оцінити економічну доцільність їх впровадження). Наприклад, у випадку із земляним валом для запобігання підтопленню під час реалізації проєкту, вартість валу слід порівняти з очікуваною вартістю збитків від підтоплення, помноженою на ймовірність виникнення підтоплення під час будівництва.
XII. Потік витрат в межах проєкту
{Заголовок розділу “Потік витрат в межах проєкту” із змінами, внесеними згідно з Наказом Міністерства фінансів № 354 від 15.07.2025}
37. Для підготовки кошторису проєкту, окрім загальної вартості проєкту, ініціатор проєкту має підготувати розбивку на кожен рік реалізації та експлуатації проєкту. Це дозволить врахувати фінансові потреби проєкту у середньостроковому бюджетному плануванні. Водночас така розбивка має базуватися на реалістичному графіку виконання відповідних робіт з підготовки та реалізації проєкту і у графічному вигляді відповідати S-подібній кривій, яка відображає накопичену вартість реалізації проєкту з плином часу.

{Пункт 37 розділу “Потік витрат в межах проєкту” із змінами, внесеними згідно з Наказом Міністерства фінансів № 354 від 15.07.2025}
XIII. Показники аналізу вартості проєкту
{Заголовок розділу “Показники аналізу вартості проєкту” із змінами, внесеними згідно з Наказом Міністерства фінансів № 354 від 15.07.2025}
38. Для аналізу загальної вартості проєкту використовуються такі показники:
еквівалентна річна вартість проєкту;
середня вартість проєкту на одного отримувача послуги або одиницю продукції.
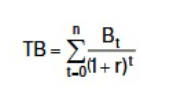
39. Теперішня вартість проєкту (ТВ) – це сума всіх витрат за проєктом протягом усього його життєвого циклу, дисконтованих з використанням відповідної ставки дисконтування. Рекомендовану ставку дисконтування доводить до відома головних розпорядників бюджетних коштів листом Мінекономіки і розміщує на своєму офіційному вебсайті.
Якщо застосовна ставка дисконтування є постійною в часі, загальна формула для розрахунку ТВ має такий вигляд:

{Абзац третій пункту 39 розділу “Показники аналізу вартості проєкту” із змінами, внесеними згідно з Наказом Міністерства фінансів № 354 від 15.07.2025}
| де | Вt | – | загальна вартість, що відповідає року t життєвого циклу проєкту; |
| r | – | застосовна ставка дисконтування; | |
| n | – | номер останнього року життєвого циклу проєкту. |
Якщо необхідно зробити вибір між двома або більше проєктами, або між альтернативними технічними рішеннями в межах одного проєкту, то за інших рівних умов слід обирати той, який має найнижчий показник ТВ, щоб продукт або послуга було надано за найнижчою можливою загальною вартістю. Але цей критерій застосовується лише до проєктів, що виробляють той самий тип товару чи послуги, з тією самою якістю, мають однакові виробничі потужності та однаковий термін експлуатації. Наприклад, для вибору між двома однаковими за розміром та обладнанням школами, збудованими з одного типу матеріалів.
40. Еквівалентна річна вартість проєкту (ЕРВ) є результатом перетворення потоку всіх витрат проєкту в рівномірний річний потік протягом усього горизонту оцінки проєкту. Формула для розрахунку ЕРВ така:

{Абзац другий пункту 40 розділу “Показники аналізу вартості проєкту” із змінами, внесеними згідно з Наказом Міністерства фінансів № 354 від 15.07.2025}
ЕРВ дозволяє вибрати проєкти (або альтернативні рішення в межах одного проєкту), які створюватимуть той самий тип товару або послуги в тій самій кількості, але можуть мати різний строк корисного використання. За інших рівних умов, прийняття рішень полягає у виборі проєкту, який має найнижчий показник ЕРВ.
{Абзац п’ятий пункту 40 розділу “Показники аналізу вартості проєкту” із змінами, внесеними згідно з Наказом Міністерства фінансів № 354 від 15.07.2025}
41. Середня вартість проєкту на одного отримувача послуги або одиницю продукції (СВО) за умови незмінної виробничої потужності проєкту, розраховується за такою формулою:

| де | х | – | кількість отримувачів послуги або одиниць продукції, що генеруються проєктом за рік. |
Якщо кількість отримувачів або продукції змінюються з плином часу, застосовується середнє значення цього показника.
Форма
представлення витрат у межах проєкту
{Додаток із змінами, внесеними згідно з Наказом Міністерства фінансів № 354 від 15.07.2025}
Error: Contact form not found.
зателефонуємо Вам найближчим часом!